PT-141 or Bremelanotide is the generic term for a research peptide being studied for its possible use in helping to improve sexual dysfunction in both men (erectile dysfunction or impotence) and women (sexual arousal disorder). PT-141 was developed from the tanning peptide Melanotan 2, which is a synthetically produced variant of a peptide hormone naturally produced in the body that stimulates melanogenesis that is known as alpha-Melanocyte stimulating hormone. MSH, activates certain melanocortin receptors in the process of exerting its effects. Indeed, MSH also exerts potent influence over lipid metabolism, appetite, and sexual libido. Resultantly, PT-141 has been shown in studies to exhibit libido-enhancing effects by activating the melanocortin receptors MC1R and MC4R, but not skin tanning. Melanotan 1 and Melanotan 2 have been researched for their use in protecting against the harmful effects of ultraviolet radiation from sunlight due to their melanogenesis-stimulating properties.
PT-141 is a potential remedy for the treatment of sexual dysfunction; specifically, male erectile dysfunction. Studies have shown that PT-141 does not act on the vascular system like former compounds, but allegedly works by activating melanocortin receptors in the brain, therefore helping increase ones sexual stimulation. PT-141 is a melanocortin based peptide that has shown effectiveness in clinical studies on both male and female rats. Male rats have shown erectile response with doses as low as 1-2 mgs whereas most female rats have shown positive results with higher doses around 2-3 mgs. While the dosage requirements tend to be higher for female rats, the observable results in female rats tend to be stronger.

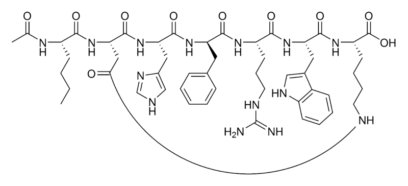
Sequence: Ac-Nle-cyclo[Asp-His-D-Phe-Arg-Trp-Lys]-OH
Molecular formula: C50H68N14O10
Molar Mass: 1025.2
CAS number: 189691-06-3
PubChem: CID 9941379
PT-141 Structural Names: cyclo-[Nle4, Asp5, D-Phe7, Lys10]alpha-MSH-(4-10)
PT-141 is a metabolite of Melanotan 2
PT-141 was developed from the Melanotan 2 Peptide, which underwent testing as a sunless tanning agent. In initial testing, Melanotan 2 did induce tanning, but additionally caused sexual arousal and spontaneous erections as unexpected side effects in nine out of the ten original male volunteer test subjects. Palatin completed patient treatment in its Phase 2B clinical trial in premenopausal women with FSD Primary data analysis and announcement of top-line results anticipated in first-half of fourth quarter of calendar year 2012. In studies, PT-141 was shown to be effective in treating sexual dysfunction in both men (erectile dysfunction or impotence) and women (sexual arousal disorder). Unlike Viagra and other related medications, it does not act upon the vascular system, but directly increases sexual desire via the nervous system.